行業資訊
污水管道設計需要注意哪些點?
本節內容主要講解課本第三章污水管渠的水力計算方面內容,主要從4部分講解:①污水在管渠中的流動特點;②水力計算的基本公式;③污水管道水力計算參數;④污水管道的埋設深度和覆土厚度。本節內容仍舊是《排水工程》案例高頻考點,務必要掌握。
01
污水在管渠中的流動特點
本部分內容需要掌握以下幾個點:
①排水管渠系統的設計應以重力流為主,盡量不設泵站,而只有在無法采用重力流或者重力流不經濟的時候才設置泵站。在這里肯定有考友有疑問:“為什么重力流還不經濟?難道靠重力輸送污水還會比靠泵輸送花費更高?”考慮這個問題不能僅看運行費用,要綜合考慮前期施工和后期運行,如果施工難度特別大或者花費特別高的時候,重力流就不如壓力流合適了。
②污水管道和給水管道在形式上正好相反,給水是通過干管輸送到支管在到達用水點,而污水是通過支管匯集到干管,在統一收集到污水廠處理,再有給水管網有枝狀網、環狀網兩種形式,而污水管網僅有枝狀網一種形式。
③正常運行情況下污水管道內部是非滿流,也即有自由水面,其充滿度h/D<1,此處的污水管道特指分流制污水管道,不包括合流管道和分流制雨水管道,后兩者設計充滿度按照1計算。
④污水可以恒定流水力計算的理論依據:污水含水率99%以上,可以假定其遵循一般水流流動規律,并且可以認定在直線管段管道內水流為均勻流,因此可以認定為恒定流。注意一定是要在直線管段上,才會有如此結論,所以以下所有關于污水水利計算公式,都是建立在直線管段基礎上,假如非直線管段則以下結論都不成立。
02
水力計算的基本公式
教材中的本部分一共有5個公式,但是我們只需要重點掌握兩個即可:
①流量公式

這個公式是個萬能公式,不論給水、排水和建水上面的流量計算,只要是恒定均勻流,此公式都適用。不過這個公式沒啥難度,只需要注意1點即可,就是流速v的選擇,流速v具有最小流速和最大流速的限制。
最小設計流速參見《室外排水設計規范》4.2.7條,排水管渠的最小設計流速,應符合下列規定:
- 污水管道在設計充滿度下為0.6m/s;
- 雨水管道和合流管道在滿流時為0.75m/s;
- 明渠為0.4m/s。
最大設計流速參考《室外排水設計規范》4.2.5和4.2.6條,應當注意的是4.2.6明渠的最大設計流速當水流深度在0.4~1.0m范圍以外時,表4.2.6所列最大設計流速宜乘以下列系數(這里最容易出坑):
- h(水流深度)<0.4m,0.85;
- 1.0<h(水流深度)<2.0m,1.25;
- h(水流深度)≥2.0m,1.40。
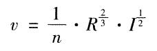
②排水灌渠的流速公式(注意應用此公式同樣是在恒定均勻流條件下才行)

- v——流速(m/s);
- n——排水灌渠粗糙系數;
- R——水力半徑(過水斷面面積與濕周的比值,m);
- I——水力坡度(至于是水面坡度還是管底坡度需要看題意)。
這個公式的重要性,可以說是貫穿了《排水工程》全篇,應該給與百分之一百二的重視,該公式涉及所有參數詳細解釋見03節。
03
污水管道水力計算參數
這里不按照課本說法來講,課本上所列的那幾項在案例題中很少考到,都是在知識題當中考核,而對于案例題來說,v(設計流速)、n(粗糙系數)、R(水力半徑)、I(水力坡度)、h/D(充滿度)這五個參數是非常重要的,所以考生弄明白這五個參數中分別涉及到的知識點即可。
①v(設計流速),其意義是與設計流量、設計充滿度相應的水流平均速度。排水管道設計流速的取值,一般情況下隨著設計流量的逐段增加,設計流速也逐段相應增加或者保持不變,如果流量不變,流速不應該減小。只有管道坡度由大驟然變小的情況下,設計流速才允許減小。
設計流速和管徑相關,隨著設計流量的逐段增加,設計管徑應相應增加,一般會增大一級或者兩級(50mm為一級),但是當管道坡度驟然增大時,下游管段的管徑可以減小,但管徑的減小范圍不得超過兩級,也就是說管徑減小不能超過100mm。這一點非常重要,在案例計算題中,有時會讓考生判斷最合適的管徑和坡度,假如有的選項中管徑縮小范圍超過100mm了,那就不用計算,直接排除,否則四個選項全部計算,時間絕對會浪費很多。希望考生能夠靈活運用這一點。
并且流速有最大設計流速(也叫沖刷流速)和最小設計流速(也叫不淤流速),至于具體數值,本文前部分已經說明,可以回看水力計算基本公式中的流量公式部分內容。
②n(粗糙系數),粗糙系數沒難點,會查即可。規范和教材上一共有3處和粗糙系數有關,第一是排水灌渠粗糙系數,查規范表4.2.3;第二是人工渠道的粗糙系數,查教材表5-4;第三是鋼筋混凝土滿流時粗糙系數一般為0.013,非滿流為0.014。

規范表4.2.3

教材P105表5-4
③R(水力半徑),水力半徑的計算方法為過水斷面與濕周的比值,計算過程中的坑點在于濕周的計算,顧名思義,濕周其實就是被水沾濕的長度,沒有被水沾濕的不能計算在內,舉例一個截面積為正方形的帶蓋暗渠,假如渠內水位低于渠頂,計算濕周的時候就是正方形截面積的三條邊長(不含最頂部),假如渠內水位水頭高于渠頂(有壓),則計算濕周時就得考慮四條邊長,所以在做題時,計算濕周一定要看情況,沒接觸水的部分就不要計算進去。
如果是圓形管道,計算水力半徑時,當充滿度為1或者0.5時,R=D/4,當充滿度不為1或者0.5時,查教材表格3-10獲得。

注意此表可內插,且滿流時流速不是最大。
④I(水力坡度),關于水力坡度需要注意的點有3處。
其一是“最小設計坡度”的概念:將相應于最小管徑時的管道坡度稱為最小設計坡度,而通常管徑越大,最小設計坡度越小,所以最小設計坡度就可以理解為當某個系列所有管材采取這個坡度時,其流量都能滿足要求的坡度。
其二是排水管道的最小管徑與相應最小設計坡度,按表4.2.10取值。

其三是“不計算管段”的概念,說白了不計算管段就是采用最小管徑和最小坡度時,按照充滿度0.55計算的流量都大過上游設計流量,這時候就不用計算而直接采用最小管段和最小坡度就行,不用計算了當然就是“不計算管段”。
⑤h/D(充滿度),合流和雨水管道按照滿流設計,也就是充滿度為1,而污水管道充滿度一定要<1。為什么污水管道不能滿流設計?主要有以下三個方面因素。
- 為未預見水量的進入留有余地,避免污水溢出進而影響環境衛生;
- 為排除污水管道內的有害氣體;
- 便于管道的疏通和維護管理。
至于污水管道設計充滿度最大值選用多少,《室外排水設計規范》4.2.4給出了依據,原則就是管徑越大,設計充滿度數值越接近于1。

充滿度這個參數的難點在于這個表格后面的三條小注,尤其是第一點容易讓人誤解。
- 在計算污水管道充滿度時,不包括段時突然增加的污水量,但當管徑≤300mm,應按滿流復核;
- 雨水管道和合流管道應按滿流計算;
- 明渠超高不得小于0.2m。
對于第1條,假設某工廠會偶爾排放一股大量污水,在設計該廠污水管道時,設計流量不包括這股突然排水,就只按照正常排水量計算,但是假如該廠排水管道經過計算后管徑≤300mm了,這時候正常設計時仍舊不考慮突然增加的水量,但是等選定管徑、坡度等參數后要把這股突然增加的水算入總水量,按照充滿度=1復核,看看能不能全部通過,畢竟排水系統要優先保證能夠快速排除污水,不能快速排除就得增加相應對策。
對于第3條,明渠在設計時,先按照最大設計充滿度計算,假如算出來后超高<0.2m,那就要選取更大渠高,假如算出來后超高≥0.2m,那就按照最大充滿度設計即可。
04
污水管道的埋設深度和覆土厚度
注意埋設深度和覆土厚度的定義,埋設深度是指埋地管渠內底至地表面的垂直距離;覆土厚度指埋地管渠外頂至地表面的垂直距離。兩者相差一個管徑加壁厚的距離(注意是一個壁厚而不是兩個壁厚)。

《室外排水設計規范》中有關這部分的內容是4.3.7條:“管頂最小覆土深度,應根據管材強度、外部荷載、土壤冰凍深度和土壤性質等條件,結合當地埋管經驗確定。管頂最小覆土深度宜為:人行道下0.6m,車行道下0.7m”,關于這一條款曾經出過案例計算題,一定要注意本條規定的是管頂最小覆土深度,而不是埋設深度。
更多相關信息 還可關注中鐵城際公眾號矩陣 掃一掃下方二維碼即可關注





